ML) 선형회귀 ( Linear Regression )
2022. 8. 25. 19:10ㆍML_DL/ML
Linear Regression
- 단순 선형회귀 모델
단순 선형 회귀 모델
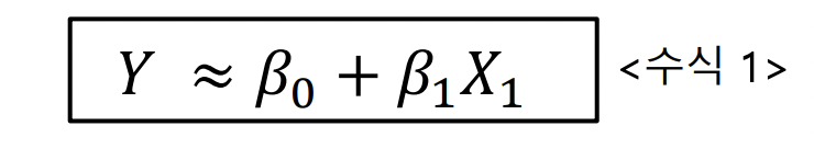
Model :

Y 는 Real response, X1 = Predictor 이다.
추정 모형 :

y(hat) = x(i1)에 대한 예측되어 지는 값
Beta(hat) = 우리가 추정한 상수값
모형의 도입을 위해서는 True Model을 가정해야한다. (1)번 모델
즉, 이론적 결과는 True Model 의 가정하에서 유도된다는 것이다.
훈련용데이터를 통해서 Beta(hat) 값들은 계속해서 변화하게 되지만, 많은 경우를 진행한 후 평균적인 값을 내게 되면, 실제 True Model과 유사한 값을 가지게 된다.
- Beta(hat)값은 훈련용데이터에 의존하는 랜덤한 값이다.
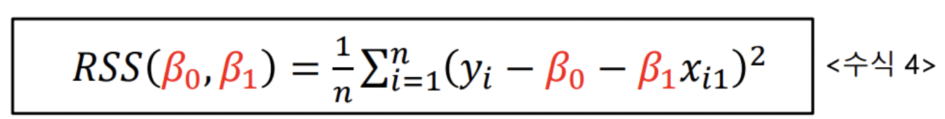
추정방법:

RSS = 실제 결과값과 추정값 간의 오차
y(n) : n번째 결과 값
x(n1) : n번째 predictor 값
일반화:

** hat이 붙지 않은 값들은 데이터를 통해서 관찰된 값이다.
해당 RSS (오차 값)를 최소화 하는 Beta(hat) 값들을 찾게 되고 이는 추정모형의 Beta(hat)이 된다.
절댓값이 아닌 RSS를 사용하는 이유?
- 절댓값을 컴퓨터가 처리하기 위해서는 하나의 조건문을 만들어야 하기에 연산속도가 느려진다.
- 값이 다른 부분에 있어서 더 큰 패널티를 주어서 좀 더 적합한 값을 도출 할 수 있다.
True Model은 어떻게 가정할 수 있는가?
위에 이론적인 부분을 통해서 Beta(hat) 값들의 평균이 True Model과 유사하다는 것을 확인했는데, 사실 우리는 현실에서는 실제 Beta 값들, 함수의 형태를 알지 못한다. 그러면 True Model을 가정하에 진행하기 위해서 어떻게 해야 하는가?
=> 모델의 불확실성을 고려하야한다.
Code 로 알아보기
'ML_DL > ML' 카테고리의 다른 글
| ML) CrossValidation (0) | 2022.08.30 |
|---|---|
| ML) Metrics (0) | 2022.08.29 |
| ML) Logistic Regression (0) | 2022.08.29 |
| ML) Ridge Regression (0) | 2022.08.29 |
| ML) Multiple Regression (0) | 2022.08.29 |